Image:Cyclic.jpg
From Wikimization
Size of this preview: 505 × 600 pixels
Full resolution (3431 × 4076 pixel, file size: 1,019 KB, MIME type: image/jpeg)
Ranjelin (Talk | contribs)
(\textbf{(a)}\,1N4001 diode large signal response simulation of \hbox{Figure \textbf{\ref{LSIG}}b} @\mbox{${\rm Fs}\!=_{}\!\tt49.152_{}MHz$} over \texttt{1s} record: \mbox{$i_{\rm s^{\!}}\!=_{\!}\texttt{76.9E-12A}_{}$},\, \mbox{$\eta\!=\!\texttt{1.45}_{}$})
Next diff →
Current revision
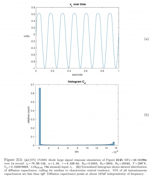
\textbf{(a)}\,1N4001 diode large signal response simulation of \hbox{Figure \textbf{\ref{LSIG}}b} @\mbox{${\rm Fs}\!=_{}\!\tt49.152_{}MHz$} over \texttt{1s} record: \mbox{$i_{\rm s^{\!}}\!=_{\!}\texttt{76.9E-12A}_{}$},\, \mbox{$\eta\!=\!\texttt{1.45}_{}$},\, \mbox{$\tau\!=\!\texttt{4.32E-6s}_{}$},\, \mbox{${\rm R_{d\!}}\!=\!\tt0.042_{}\Omega_{}$},\, \mbox{${\rm R_{s\!}}\!=\!\tt280_{}\Omega_{}$},\, \mbox{${\rm R_{L\!}}\!=\!\tt200_{}k\Omega_{}$},\, \mbox{$T\!=\!\tt298^\circ K_{}$},\, \mbox{$V_{T^{\!}}^{}\!=\!\texttt{0.02567965V}_{}$},\, \mbox{$\pm$\texttt{1V}$_\textsc{peak}$} $\tt7^{}$\texttt{Hz} sinusoid input $_{}v_{i\,}$. ~\textbf{(b)}\,Normalized histogram shows skewed distribution of diffusion capacitance, calling for median to characterize central tendency. 55\% of all instantaneous capacitances are less than \texttt{1pF}. Diffusion capacitance peaks at about \texttt{157nF} independently of frequency.
File history
Click on a date/time to view the file as it appeared at that time.
| Date/Time | User | Dimensions | File size | Comment | |
|---|---|---|---|---|---|
| (current) | 16:22, 25 January 2025 | Ranjelin (Talk | contribs) | 3431×4076 | 1,019 KB | \textbf{(a)}\,1N4001 diode large signal response simulation of \hbox{Figure \textbf{\ref{LSIG}}b} @\mbox{${\rm Fs}\!=_{}\!\tt49.152_{}MHz$} over \texttt{1s} record: \mbox{$i_{\rm s^{\!}}\!=_{\!}\texttt{76.9E-12A}_{}$},\, \mbox{$\eta\!=\!\texttt{1.45}_{}$} |
- Edit this file using an external application
See the setup instructions for more information.
Links
The following pages link to this file: